第6章 土 圧
|
擁壁・隔壁・矢板工および締切り工などの構造物は、土を一定の位置に支
えておくという機能を持っている。これらの構造物の背面に加わる地山、ま
たは盛土の圧力は一般に土圧と呼ばれ、その設計にあたっては、土圧を確か
めなければならない。
土質力学の最も初期の理論のいくつかは、擁壁にかかる土圧を取り扱って
いる。残念なことに、その土圧算定式を用いる技術者は、必ずしも、その誘
導にあたっての諸仮定を十分理解していないことが多かった。そのため多く
の失敗が起こり、ひいては、土の設計施工にあたる技術者の中に、土質力学
に不信の念をいだく原因を作り出したことも少なくなかった。
|
 |
|
 |
6.1 ランキン土圧
|
ランキンは地下水面より上にある、非常に広い水平な土体の中の応力を
考えた。任意の深さzにおける垂直圧σv は、図−6.1を参照して、
σv=γ・z
ここに、
γ:土の単位体積重量(t/m3)
これは土の中に薄い摩擦のない垂直な壁がおかれても同じことである。

|
 |
|
 |
6.1.1 静止時の土圧
土の中の薄い壁に加わる水平土圧の強さは、
σh=K0・σv=K0・γ・z ・・・・・(6.1)
このK0 は、静止土圧係数と呼ばれ、表−6.1のような値を用いる。し
たがって、高さHの壁体に働く単位幅当たりの土圧P0 は、


土の単位体積重量γが不明のときは、表−6.2の土の定数の表を利用す
ると便利である。
水平な圧力(土圧)は、(6.1) 式に見るように、深さに比例して増加する
から、圧力分布図は三角形になり、合力は重心の位置を通る。したがって、
合力の深さzは、(図−6.2参照)
z=2/3・H

静止している土の任意点における応力は、モ−ルの円から求められ、最大
主応力γ・z、最小主応力はK0・γ・z となる。そして、この応力状態と破壊
包絡線との関係は図−6.3のようである。

|
 |
|
 |
6.1.2 主働土圧
図−6.1の壁の右側の土が移動し、壁を押すとき、左側からその土圧に
等しい反力を与えると壁は動かない。しかし、反力が少し小さくなると、土
は弾性的な変形をして、壁体はわずかに左方に傾く。いいかえると、壁体が
土によってたわみ、移動するようなら、この土圧は静止土圧K0・γ・z より
小さくなる。
土圧がK0・γ・z より減少するにしたがい(図−6.4(a)参照)、せん
断破壊の状態になる。

tan2(45゜−ψ/2) は、主働土圧係数と呼ばれ、KA の記号で表わす。最
小の土圧で、せん断破壊にはいる状態は、主働土圧といわれる。単位幅当り
の主働土圧PA は

PA の合力は圧力分布図の重心を通るから、2/3・H の深さに働く(図
−6.4(b)参照)。
この解析は、裏込めが乾燥した砂であるという仮定に立っている。砂が飽
和していれば内部摩擦角ψは変わらないが、有効垂直応力は垂直応力γ'・z
から間隙水圧uw を減じたものとなる。したがって、擁壁に加わる有効な水
平土圧Paは、
Pa=P'a+uw=(γ'・z−uw)KA+uw ・・・(6.5)
擁壁背後の裏込めが、粘着力cの粘土の場合、主働土圧の強さPa はモ−
ルの円から図−6.5(a)を参考にして、次のように求められる。
Pa=γ・z−2c ・・・・・・・・・・・・・・(6.6)
したがって、この場合主働土圧PA は、

粘着力cが不明の場合は、表−6.3の地山の粘着力を参考にして求めれ
ばよい。(6.7)式から、高さ4c/γの深さでPA=0 となることがわかる。

これが粘土地盤の掘削において、支えがなくても、ある程度は崩れずに立
っている理由である。また、図−6.5(b)は、深さ2c/γ まで引張力の
働くことを示している。しかし、乾燥その他ま現象により、擁壁と粘土表面
にクラックが生ずると引張力は0になり、このクラックに水がたまると、表
面水圧が働くなどして土圧の合理的解析は複雑になる。
|
 |
|
 |
6.1.3 受働土圧
もし、壁体が裏込めの土の方向に移動するなら、壁の圧力は増加し受働土
圧となる。
このときモ−ルの応力円において、Pp は垂直応力=γ・z の右の方へ増
加し、γ・z は最小主応力になる。そして、擁壁に働く最大圧力は壁の後ろ
の土が、せん断破壊状態になるまで大きくなる(図−6.6(a))。

裏込めが乾燥した砂であるとき、任意の深さの土圧の強さPp はモ−ルの
円から求められ、

ここで、tan2(45゜+ψ/2) は受働土圧係数と呼ばれ、Kp の記号で与え
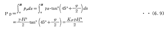
られる。したがって、高さHの擁壁に加わる単位幅当りの受働土圧Pp は

tan2(45゜+ψ/2) は、45゜ を越すと急激に増大するから、Kp は内部摩
擦角ψの大きい場合、非常に大きくなる可能性がある。合力の作用線は水平
で、地表より2/3・H の深さに働く(図−6.6(b))。
もし、裏込めの土が飽和した粘土であると、図−6.7のモ−ルの円から、
任意の深さにおける土圧の強さPp は
Pp=γ・z+2c ・・・・・・・・・(6.10)
よってこの場合、擁壁に加わる単位幅当りの受働土圧Pp は(図−6.7
(b))。

また、せん断抵抗がτ=c'+p・tanψ' で決まるような部分飽和の土で
は、モ−ルの円から、次の諸式が得られる。主働状態では、

これらの圧力分布図は、飽和粘土の圧力分布図によく似ている。
|
 |
|
 |
6.1.4 変形と境界の条件
主働および受働の両方の状態で、せん断破壊状態にある壁体付近の土は、
図−6.8のような、くさび形の破壊を形成する。第5章土の強さでも説明
したように、破壊面が最小主応力となす角はα=45゜+ψ/2であるから、主
働状態では水平面とαの角をなし、受働状態では鉛直面とαをなすように破
壊のくさびが生ずる。

主働状態および受働状態となるに必要な壁の1点の水平移動量は、土の性
質(砂・粘土とか、それがゆるく詰まっている、密であるなど)、および壁
の高さなどによって変わるものと考えられる(図−6.8(a))。粒状の土で
は、Hの深さで主働土圧を起こすに必要な変形量は、その深さの0.1~0.2%
である。粘着性の土では、その変形量が少し大きく約1~2%と考えられて
いる。
今まで述べてきたことにより、壁体の移動と、主働および受働状態とは関
係のあることがわかった。実際に設計する場合には、土に対してどのような
構造物が、主働状態および受働状態にあるのであろうか。表−6.4は、そ
の二、三の例である。

|
 |
|
|
[ ↑目次へ戻る ]
|
 |